网站首页
学院概况
专业介绍
教学科研
党群工作
学生工作
招生就业
学院文化
资源下载
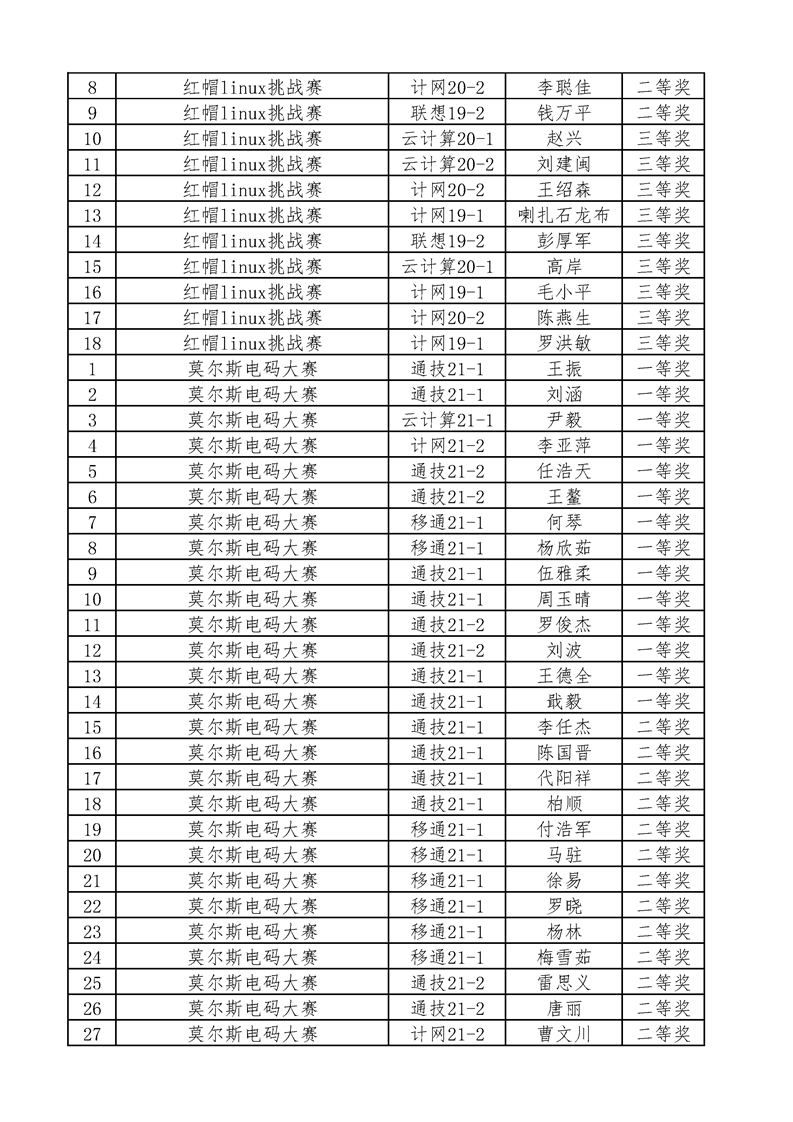
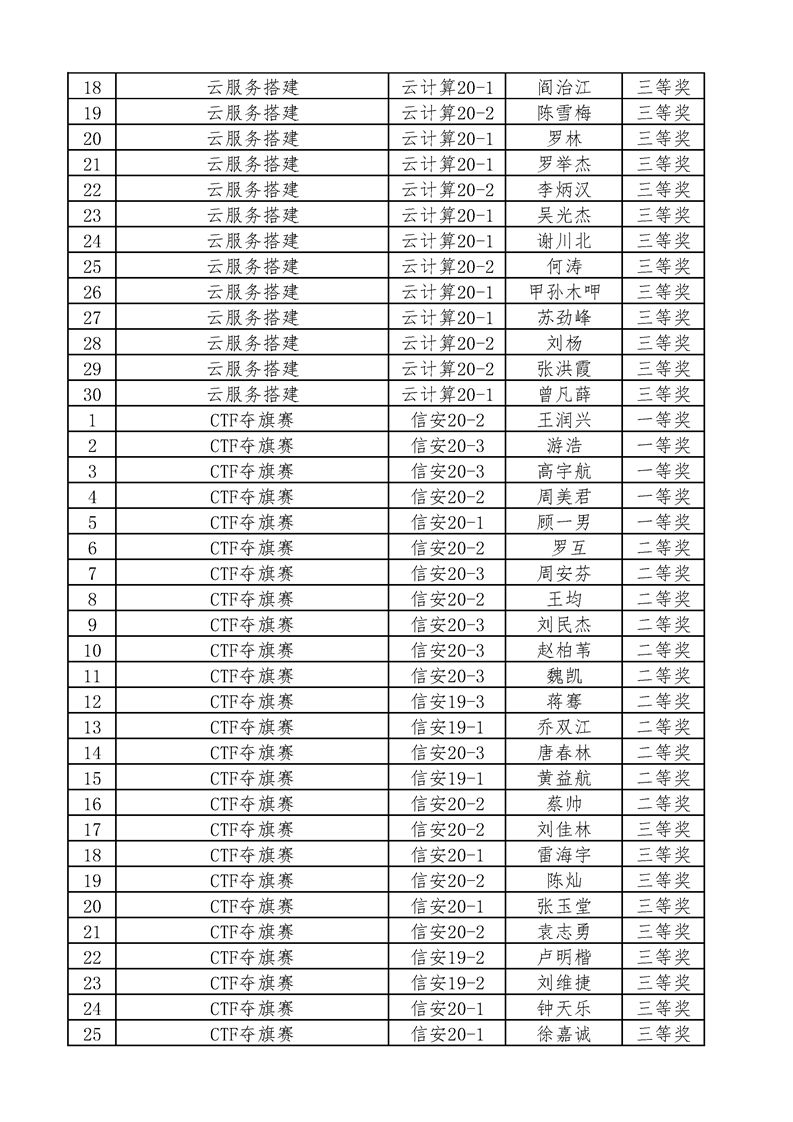
2021年“技能竞赛周”活动技能大赛学生获奖名单公示
作者:张强
日期:2021-10-11
浏览次数:16663